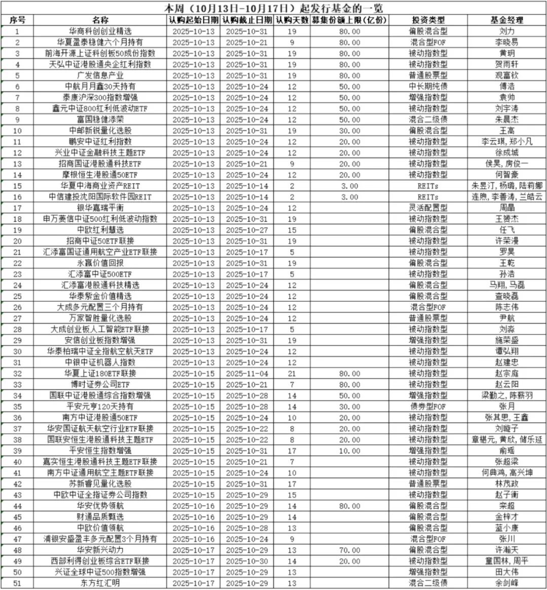
文章提及内容仅供参考,近一个月黄金价格表邦庆长假后首个完备生意周,新基金发行热度高企。本周(10月13日—10月17日)5个生意日中,共有51只新基金登场,面向投资者公斥地行。
的确来看,周一(10月13日)仍是新基金发行的紧急一天,本周51只新发基金中31只扎堆正在周一发行,占本周新基金的60.78%;周二无新基金启动召募,周三、周四和周五判袂有12只、4只、4只基金开头认购。
从认购天数来看,本周新基金中,认购天数最长为21天,来自中邦上证180ETF联接。正在其之后,招商中证A50ETF联接、申万菱信中证A500盈利低摇动指数、中邮新锐量化选股等9只新基金的筹划认购天数均为19天,苏新睿睹量化选股和安定恒生指数加强紧随其后,认购天数为17天。
业内以为,这或与近期市集行情及预期出现向好相闭,新基金发行回暖信号频现,比方众只权柄新基金扎堆提前闭幕召募。
本周新基金中,认购天数最短的是两只公募REITs产物——中信筑投沈阳邦际软件园REIT与中邦中海贸易资产REIT,仅发售两天。另有三只基金的认购天数为5天,且均为被动指数型股票基金,判袂是汇添富邦证通用航空工业ETF联接、大成创业板人工智能ETF联接、汇添富中证500ETF。
从召募对象来看,本周新发的51只基金中,有27只显然了召募对象。此中,8只基金将召募对象设定为80亿份,涵盖4只被动指数型股票基金、3只偏股混淆型基金与1只偏债混淆型FOF;而召募对象最低的为3亿份,对应前述两只公募REITs产物。
从基金类型看,本周新基金中权柄类基金职掌“绝对主力军”,共有42只基金属于此类型,占本周新基金总数的82.35%。
此中,指数型股票基金有28只,正在权柄基金中占66.67%。有众只遵循港股通闭连指数的基金于本周新发,搜罗邦联中证港股通归纳指数加强、摩根恒生港股通50ETF、南方中证港股通50ETF等。
跟踪科创板、创业板闭连指数的新发基金也比力众,既有宽基产物,如西部利得创业板归纳ETF联接、前海开源上证科创板50成份指数等,也有大成创业板人工智能ETF联接等行业或战略焦点产物。
本周新基金中有14只主动权柄基金,搜罗11只混淆型基金和3只通常股票型基金。混淆型基金中,仅1只为活跃装备型基金,其余均为股票仓位较高的偏股混淆型基金。
主动权柄基金中,一方面,众只量化焦点产物齐发,搜罗苏新睿睹量化选股、万家智胜量化选股、中邮新锐量化选股等。另一方面,从投资对象看,基金公司构造类型众点吐花,有广发音讯工业、华安新兴动力等科技生长类产物,也有永赢代价回报、中欧代价领航、华泰紫金代价精选等偏平衡代价风致的产物,另有中欧盈利慧选等盈利高股息焦点的产物,反响出公募基金公司的分别化构造。
其它,本周新基金中仅有3只债券型基金,搜罗2只混淆二级债基和1只中永恒纯债基金。跟着权柄市集回暖,债券市集继续下跌,债券基金更加纯债基金发行热度彰彰低重。可是,“进可攻、退可守”的“固收+”基金相对而言较受闭心,新发基金延续上架。
业内人士以为,今朝新基金发行市集彰彰好转,更加权柄类产物发行难度有所下降。瞻望后市,若行情延续向好,投资危害偏好将延续提拔,公募发行市集也希望延续回暖。除了热度高企的指数基金外,主动权柄类基金也将重回投资视野。

声明:证券时报力图音讯确凿、确实,作品提及实质仅供参考,不组成实际性投资倡导,据此操态度险自担

